British Lawyer Опубликовано 18 декабря, 2018 Автор Жалоба Опубликовано 18 декабря, 2018 Каждый день приносит хорошие новости для клиентов Legal Centre. Этот вторник не был исключением. Только что получил новые BRP карточки для своих клиентов: - Клиентка из США получила 5-и летнюю BRP по ускоренной процедуре (брак с гражданином EU) - Клиент c Украины (до этого - почти пару десятков лет - нелегально в UK) получил 5-и летнюю BRP на основании партнерских отношений с гражданкой EU. Цитата Помощь русскоговорящего адвоката высшей категории: консультации, проверка заявлений, ведение дел: www.legalcentre.org Mob/Viber/WhatsApp:+44(0)77 911 45 923, Skype: immigration_lawyer
British Lawyer Опубликовано 22 декабря, 2018 Автор Жалоба Опубликовано 22 декабря, 2018 Каждый день, включая выходные (Legal Centre открыт 7 дней в неделю) приносит клиентам Legal Centre хорошие новости. И довольно часто - не одну хорошую новость. Только что получил подтверждение из UK BA о том, что 3 заявления моих клиентов о натурализации были одобрены. Клиенты так же получили приглашения на церемонии по получению гражданства. Рассмотрение заявлений на гражданство этих клиентов заняло всего 3 недели. Это намного быстрее чем подавать через NCS (которые скоро будут закрыты). Я помогал этим клиенам на проятжение последних 6 лет. Они приехали сюда как семья из России по категории Sole Representatives of an Overseas Business. Сначала я оформил этой семье вхездные визы, потом помог с продление виз, далее получил этим клиентам ILR и вот теперь помог клиентам стать британскими гражданами. Эти и другие клиенты, вот как Вы, читающие эти строки, обычно начинают и продолжают свой иммиграционный пусть с Legal Centre. Все начинается здесь: https://legalcentre.org/Konsultacija-s-Advokatom.html Цитата Помощь русскоговорящего адвоката высшей категории: консультации, проверка заявлений, ведение дел: www.legalcentre.org Mob/Viber/WhatsApp:+44(0)77 911 45 923, Skype: immigration_lawyer
British Lawyer Опубликовано 30 декабря, 2018 Автор Жалоба Опубликовано 30 декабря, 2018 Хорошие новости для украинской семьи из 4-х человек под Новый Год. Каждый день, включая выходные (Legal Centre открыт 7 дней в неделю) приносит клиентам Legal Centre хорошие новости. И довольно часто - не одну хорошую новость. Только что получил подтверждение из UK BA о том, что 4 заявления моих клиентов с Украины о натурализации были одобрены. Рассмотрение заявлений на гражданство этих клиентов заняло всего 7 недель. Это намного быстрее чем подавать через NCS (которые скоро будут закрыты). Я помог этим форумчанам и могу помочь Вам. Все начинается здесь - https://legalcentre.org/Konsultacija-s-Advokatom.html - просто закажите одноразовую online консультацию со мной в удобное для Вас время. Цитата Помощь русскоговорящего адвоката высшей категории: консультации, проверка заявлений, ведение дел: www.legalcentre.org Mob/Viber/WhatsApp:+44(0)77 911 45 923, Skype: immigration_lawyer
British Lawyer Опубликовано 31 декабря, 2018 Автор Жалоба Опубликовано 31 декабря, 2018 Хорошие новости для одной из моих многочисленных клиенток из Польши в канун Нового Года (31 декабря 2018 г.). Каждый день, включая выходные (Legal Centre открыт 7 дней в неделю) приносит клиентам Legal Centre хорошие новости. Только что получил подтверждение из UK BA о том, что заявление о натурализации моей клиентки из Польши было только что одобрено властями Великобритании. Рассмотрение заявления на гражданство этой клиентки заняло всего 5 недель. Это намного быстрее чем подавать через NCS (которые скоро будут закрыты). Я помог этой форумчанке и могу помочь Вам. Все начинается здесь - https://legalcentre.org/Konsultacija-s-Advokatom.html - просто закажите одноразовую online консультацию со мной в удобное для Вас время. Цитата Помощь русскоговорящего адвоката высшей категории: консультации, проверка заявлений, ведение дел: www.legalcentre.org Mob/Viber/WhatsApp:+44(0)77 911 45 923, Skype: immigration_lawyer
British Lawyer Опубликовано 3 января, 2019 Автор Жалоба Опубликовано 3 января, 2019 Первый рабочий день в Новом году как, в принципе, и другие дни недели, приносят хорошие новости моим клиентам. Этот случай особый. Клиентка (нелегал) сначала был у меня на консультации, но потом решил подавать заявление с одной из "больших и красиво выглядящих" в рекламе русскоговорящих фирм. Проблемы начались, когда клиентка послушала предыдущих "представителей" и отказалась (вопреки моему совету) регистрировать брак в ЗАГСЕ и вместо этого по совету предыдущих "представителей" заключила брак в своем национальном консульстве в Великобритании. Хотя в Правилах черным по белому написано, что такой брак не засчитывается в ее случае. Далее все было предсказуемо: - Отказ - Предложение со стороны бывших представителей о доплате в ££££ за ненужную апелляцию и т.п. - Долг в ££££ перед NHS за рождение ребенка - Подача ненужной апелляции пердыдущими представителями В итоге клиентка попросила срочно помочь, т.к. была уже глубоко беременна и Home Office хотел ее выслать. Подготовка заняла уже больше времени, т.к. мне пришлось работать на несколько "фронтов": - Практически клещами вытаскивать документы клиентки из фирмы бывших представителей (не хотели отдавать, попросту - тянули время) - Работать с судом - Работать с NHS чтобы на клиентку не наложили штраф ££££ за роды в UK без иммиграционног статуса - Подготовка нового заявления Результат после моего вмешательства был предсказуем - заявление рассмотрели за 8 недель. Одновременно с получением всех оригинальных документов клиентки и решения Home Office курьер DX так же принес и новую BRP карточку клиентки. NHS так же "сдалось" и отказалось от своих финансовых претензий к клиентке. В последнее время я все чаще и чаще получаю инструкции от новых клиентов о переводе их дел из других фирм к нам. Кто-то успевает это сделать до отказа. Кто-то, как клиентка в примере выше - после отказа. Даже пришлось на нашем сайте сделать специальный отдел "Как перейти в Legal Centre": https://legalcentre.org/Perehod-v-Legal-Centre.html И, как всегда, по традиции, вот как выглядят документы UK BA: Удачи всем в Новом Году ! Антон Коваль Legal Centre 07791145923 1 Цитата Помощь русскоговорящего адвоката высшей категории: консультации, проверка заявлений, ведение дел: www.legalcentre.org Mob/Viber/WhatsApp:+44(0)77 911 45 923, Skype: immigration_lawyer
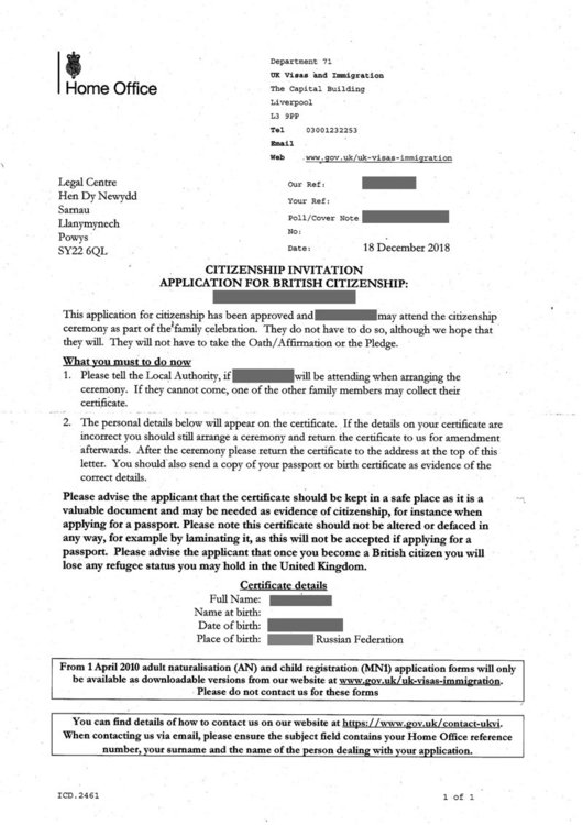
British Lawyer Опубликовано 11 января, 2019 Автор Жалоба Опубликовано 11 января, 2019 Каждый день приносит хорошие новости клиентам Legal Centre. Сегодня почтальон принес подтверждение того, что очередная клиентка Legal Centre из Польши получила положительное решение по ее заявлению на натурализацию. Клиентка так же получила письмо-приглашение на церемонию по натурализации. Заявление клиентки рассмотрели буквально за 4 недели. Еще 10 дней понадобилось Home Office (Новогодние праздники !) чтобы выслать т.н. Naturalization Ceremony Invitation Letter. Вот как выглядит такое письмо из Home Office. Такие письма обычно завершают иммиграционный путь наших клиентов, т.к. после такого письма наши клиенты получают британские паспорта: Цитата Помощь русскоговорящего адвоката высшей категории: консультации, проверка заявлений, ведение дел: www.legalcentre.org Mob/Viber/WhatsApp:+44(0)77 911 45 923, Skype: immigration_lawyer
British Lawyer Опубликовано 12 января, 2019 Автор Жалоба Опубликовано 12 января, 2019 Каждый день, включая выходные, приносит хорошие новости клиентам Legal Centre. Эта суббота так же не была исключением. Только что получили т.н. EEA Permanent Residence Certificate для одной из наших многочисленных клиенток из Латвии. По моей просьбе Home Office так же сделать back date даты, с которой моей клиентке засчитывается срок на гражданство. Поэтому клиентка теперь может подать на гражданство на 6 месяцев раньше. Вот как выглядят решение Home Office: Цитата Помощь русскоговорящего адвоката высшей категории: консультации, проверка заявлений, ведение дел: www.legalcentre.org Mob/Viber/WhatsApp:+44(0)77 911 45 923, Skype: immigration_lawyer
British Lawyer Опубликовано 21 января, 2019 Автор Жалоба Опубликовано 21 января, 2019 Каждый день приносит хорошие новости клиентам Legal Centre. Я работаю со всеми категориями клиентов. От беженцев до инвесторов. Сегодня почта порадовала : - Подтверждением от UK BA о том, что сложное дело клиента из Молдавии проходит процесс рассмотрения: - Подтверждение о том, что наш клиент - британский работодатель - получил спонсорскую лицензия из UK BA по категории Tier 2 (General): Цитата Помощь русскоговорящего адвоката высшей категории: консультации, проверка заявлений, ведение дел: www.legalcentre.org Mob/Viber/WhatsApp:+44(0)77 911 45 923, Skype: immigration_lawyer
British Lawyer Опубликовано 23 января, 2019 Автор Жалоба Опубликовано 23 января, 2019 (изменено) Каждый день приносит Хорошие Новости клиентам Legal Centre. Вторник не был исключением. Только что получил подтверждение о том, что заявление одной из моих многочисленных клиентов из России на ПМЖ (ILR - SET(M)) как жены британца было рассмотрено положительно менее чем за 24 часа. Как всегда, мы использовали Super Premium Service. Заявление было нестандартное, и мне перезвонил знакомый case worker из PSC Solihull, где я подавал заявления клиентов на протяжении последних пары десятков лет, и кому на стол попало заявление этой клиентки на ILR. Было немного чуднО общаться со знакомым офицером (один из лучших в этом PSC) по телефону, а не лично, как это было раньше. А вот как выглядит E-mail - подтверждение что заявление моей клиентки на ILR было рассмотрено положительно: === From: SSCSolihull <--------------@homeoffice.gov.uk> Date: Wed, 23 Jan 2019, 10:46 Subject: xxxxxx xxxxxxxxxx-indefinite leave to remain To: xxxxxxxxxxx> Dear Mrs xxxxxx, I’m pleased to confirm that you have been granted indefinite leave to remain in the United Kingdom. You will receive your biometric residence permit (BRP) in due course, which will confirm your immigration status. Thank you for using our super priority service. If you previously held a Biometric Residence Permit (BRP) you must now return it to the Home Office as it is no longer valid. You should cut the card in half and post it in a plain, windowless envelope. If you are returning the BRP from within the UK then please send it to: BRP Returns, P.O. Box 195, Bristol, BS20 1BT. If you are returning the BRP from outside of the UK please send it to: BRP Returns, Home Office, Conference House, Conference Avenue, Portishead Office Park, Portishead, Bristol. BS20 7LZ. You may be subject to a financial penalty if you fail to return your old BRP. Furthermore, if your BRP is lost or stolen you must tell the Home Office or risk a financial penalty. Details about reporting lost and stolen BRPs are on our website at: https://www.gov.uk/biometric-residence-…/lost-stolen-damaged. Kind Regards UK Visas and Immigration Support Service Centre 41 Station Road, Solihull, B91 3RT === Как всегда, это было 100% безбумажное (paperless) заявление. То есть заявление готовилось и подавалось 100 % дистанционно, и клиентке не нужно было никуда отправлять оригиналы документов, которые всегда оставались при ней, включая паспорта и BRP. Теперь эта клиентка может сразу же подавать на гражданство. Изменено 23 января, 2019 пользователем British Lawyer Цитата Помощь русскоговорящего адвоката высшей категории: консультации, проверка заявлений, ведение дел: www.legalcentre.org Mob/Viber/WhatsApp:+44(0)77 911 45 923, Skype: immigration_lawyer
British Lawyer Опубликовано 13 февраля, 2019 Автор Жалоба Опубликовано 13 февраля, 2019 (изменено) Каждый день приносит хорошие новости для клиентов Legal Centre. Эта среда не была исключением. Только что получил для своих клиентов: Лицензия (Certificate of Sponsorship) по категории Tier 2 (General) E-mail из британского Визового Центра в Украине о том, что они отзывают отказы, и выдают визы жене и ребенку клиента (NB: Клиент попробовал сначала подать самостоятельно по этой сложной категории и допустил несколько ошибок, которые привели к отказу. После моего вмешательства апелляция была завершена досрочно (вне судебно) Новая BRP карточка клиента, кто перешел с визы Tier 2(General) на визу члена семьи гражданки Евросоюза (EEA Law) === === Изменено 14 февраля, 2019 пользователем fregat222 Цитата Помощь русскоговорящего адвоката высшей категории: консультации, проверка заявлений, ведение дел: www.legalcentre.org Mob/Viber/WhatsApp:+44(0)77 911 45 923, Skype: immigration_lawyer
British Lawyer Опубликовано 18 февраля, 2019 Автор Жалоба Опубликовано 18 февраля, 2019 Каждый день приносит хорошие новости клиентам Legal Centre Этот понедельник не был исключением: 1. Получена денежная компенсация клиентке от Home Office за незаконный отказ в выдаче гражданства. Клиентка уже получила британский паспорт, а вот теперь и получила, с моей помощью, денежную компенсацию. До этого (тема освещалась раньше) клиента попробовала подать сама, получали отказ и я помог ей восстановить справедливость. 2. Семейна пара получила долгожданные иммиграционные документы на основании EU law. Home Office сначала отказал клиентам, огни обратились ко мне и я за 3 недели смог получить им необходимые документы. 3. Получено очередная BRP карточка - Settlement (ILR) по категории Tier 1 (Entrepreneur). 4. И, завершая сегодняшний отчет, получена очередная "голубая карточка" для одно из наших многочисленных клиентов из EU - Permanent Residence. Теперь клиентка может сразу подавать на гражданство. Цитата Помощь русскоговорящего адвоката высшей категории: консультации, проверка заявлений, ведение дел: www.legalcentre.org Mob/Viber/WhatsApp:+44(0)77 911 45 923, Skype: immigration_lawyer
Главный Модератор fregat222 Опубликовано 18 февраля, 2019 Главный Модератор Жалоба Опубликовано 18 февраля, 2019 Ну, что сказать??? Как обычно - супер. Цитата Делай что должно и будь что будет Гарантированное получение статуса беженца, гражданство Украины/ПМЖ в Украине/еврейская и немецкая иммиграция и не только это информация о возможностей иммигрировать и эмигрировать
British Lawyer Опубликовано 18 февраля, 2019 Автор Жалоба Опубликовано 18 февраля, 2019 Спасибо. 50% - приходится "корректировать" ошибки Home Office. Британские иммиграционные правила считаются самыми сложными в мире. Home Office сам, похоже, запутался в них. "Им нужна помощь" (С). Цитата Помощь русскоговорящего адвоката высшей категории: консультации, проверка заявлений, ведение дел: www.legalcentre.org Mob/Viber/WhatsApp:+44(0)77 911 45 923, Skype: immigration_lawyer
Главный Модератор fregat222 Опубликовано 18 февраля, 2019 Главный Модератор Жалоба Опубликовано 18 февраля, 2019 Предложи за хороший гонорар помогать им. Так и пенсии, судя по их ошибкам (как по количеству, так и по качеству), не нужно тебе будет. Цитата Делай что должно и будь что будет Гарантированное получение статуса беженца, гражданство Украины/ПМЖ в Украине/еврейская и немецкая иммиграция и не только это информация о возможностей иммигрировать и эмигрировать
British Lawyer Опубликовано 5 марта, 2019 Автор Жалоба Опубликовано 5 марта, 2019 (изменено) Каждый день приносит хорошие новости клиентам Legal Centre Этот вторник не был исключением. Вот как выглядит E-mail из Home Office, уведомляющий меня о том, что заявление моей клиентки на ILR - SET(M) было рассмотрено положительно, и что клиентке выслали новую ILR BRP карточку: Изменено 5 марта, 2019 пользователем British Lawyer Цитата Помощь русскоговорящего адвоката высшей категории: консультации, проверка заявлений, ведение дел: www.legalcentre.org Mob/Viber/WhatsApp:+44(0)77 911 45 923, Skype: immigration_lawyer
Главный Модератор fregat222 Опубликовано 5 марта, 2019 Главный Модератор Жалоба Опубликовано 5 марта, 2019 Ну, что сказать?? Только одно - поздравляю и тебя и клиента. Пусть только не забудет сообщить в ФМС РФ о том+ что имеет ПМЖ в Соединенном королевстве. За несообщение о таком, могут не только в угол поставить, но и... Цитата Делай что должно и будь что будет Гарантированное получение статуса беженца, гражданство Украины/ПМЖ в Украине/еврейская и немецкая иммиграция и не только это информация о возможностей иммигрировать и эмигрировать
British Lawyer Опубликовано 5 марта, 2019 Автор Жалоба Опубликовано 5 марта, 2019 (изменено) Спасибо, Игорь.Клиентка сейчас попросила помочь с гражданством. Как жена британца она сразу же может подавать на натурализацию, т.е. ей не нужно ждать 12 месяцев Некоторые форумчане открывают сразу 2 дела у нас: ILR (ПМЖ) + Naturalization (гражданство), чтобы сразу без задержек подать а гражданство. Изменено 5 марта, 2019 пользователем British Lawyer Цитата Помощь русскоговорящего адвоката высшей категории: консультации, проверка заявлений, ведение дел: www.legalcentre.org Mob/Viber/WhatsApp:+44(0)77 911 45 923, Skype: immigration_lawyer
Главный Модератор fregat222 Опубликовано 6 марта, 2019 Главный Модератор Жалоба Опубликовано 6 марта, 2019 Отлично Цитата Делай что должно и будь что будет Гарантированное получение статуса беженца, гражданство Украины/ПМЖ в Украине/еврейская и немецкая иммиграция и не только это информация о возможностей иммигрировать и эмигрировать
British Lawyer Опубликовано 7 марта, 2019 Автор Жалоба Опубликовано 7 марта, 2019 Каждый день приносит хорошие новости для клиентов. Сегодня получили E-mail из Home Office: - Уведомление о том, что заявление клиента, члена семьи инвестора (Tier 1 Investor) на ПМЖ (ILR) был одобрено - Уведомление что клиент по категории "легализация" получил сегодня свою новую BRP карточку Делюсь хорошими новостями от Legal Centre :-) Цитата Помощь русскоговорящего адвоката высшей категории: консультации, проверка заявлений, ведение дел: www.legalcentre.org Mob/Viber/WhatsApp:+44(0)77 911 45 923, Skype: immigration_lawyer
British Lawyer Опубликовано 8 марта, 2019 Автор Жалоба Опубликовано 8 марта, 2019 (изменено) Каждый день приносит хорошие новости для наших клиентов. Пятница не была исключением. Только что получил уведомление из Home Office о том, что курьер DX сегодня доставит 4 новые BRP карточки клиентам: 3 x BRP - ПМЖ (ILR - Settlement) для семьи из трех человек. Жертвы домашнего насилия. Подавали заявление через Super Premium Service - рассмотрение за 24 часа 1 x BRP - ПМЖ (ILR - Settlement) для ребенка старше 18 лет из семьи инвестора (Tier 1 Investor). Подавали заявление через Super Premium Service - рассмотрение за 24 часа Как всегда, заявления подавались по новой системе, т.е. никаких оригиналов, никакой отсылки документов куда-либо по почте. Все было оформлено в кратчайшие сроки, т.к. как всегда с Legal Centre. Изменено 8 марта, 2019 пользователем British Lawyer Цитата Помощь русскоговорящего адвоката высшей категории: консультации, проверка заявлений, ведение дел: www.legalcentre.org Mob/Viber/WhatsApp:+44(0)77 911 45 923, Skype: immigration_lawyer
British Lawyer Опубликовано 21 марта, 2019 Автор Жалоба Опубликовано 21 марта, 2019 Каждый день приносит хорошие новости для клиентов Legal Centre. Иногда - несколько хороших новостей. Сегодня получили подтверждения о том, что наши клиенты получили Settlement/ILR (категории Tier 1 и unmarried partner of a UK citizen) используя 24-и часовой Super Premium Service. Как всегда, вся работа была проделана дистанционно через т.н. New System + инновацию Legal Centre, т.е. клиенты никуда не высылали свои оригинальные документы: Делюсь хорошими новостями (с) Цитата Помощь русскоговорящего адвоката высшей категории: консультации, проверка заявлений, ведение дел: www.legalcentre.org Mob/Viber/WhatsApp:+44(0)77 911 45 923, Skype: immigration_lawyer
British Lawyer Опубликовано 26 марта, 2019 Автор Жалоба Опубликовано 26 марта, 2019 Каждый день приносит хорошие новости клиентам Legal Centre. Сегодня, во вторник, получили уведомления о том, что заявления моих очередных клиентов по категориях Tier 1 Investor and Tier 2 General были одобрены и что клиенты скоро получат их новые BRP карточки: Цитата Помощь русскоговорящего адвоката высшей категории: консультации, проверка заявлений, ведение дел: www.legalcentre.org Mob/Viber/WhatsApp:+44(0)77 911 45 923, Skype: immigration_lawyer
British Lawyer Опубликовано 28 марта, 2019 Автор Жалоба Опубликовано 28 марта, 2019 (изменено) Сегодня, поступил "поток" из BRP клиентов: - 2 x Tier 1 Investor (ILR/Settlement) - 1 x NTL (No Time Limit Transfer) - 1 x EEA(FM) - Легализациия Собственно говоря: Изменено 28 марта, 2019 пользователем British Lawyer Цитата Помощь русскоговорящего адвоката высшей категории: консультации, проверка заявлений, ведение дел: www.legalcentre.org Mob/Viber/WhatsApp:+44(0)77 911 45 923, Skype: immigration_lawyer
British Lawyer Опубликовано 24 апреля, 2019 Автор Жалоба Опубликовано 24 апреля, 2019 Каждый день приносит хорошие новости клиентам Legal Centre - Клиентка (unmarried partner) подавал заявление на ILR в 09.00 утра, и уже в 15.00 мне пришел E-mail от caseworker, что заявление клиентки было одобрено и что клиентке дали ILR - Пришло уведомление (заняло буквально неделю) из Home Office что заявление очередного клиента по категории Tier 1 (Exceptional Talent) было обобрено (Stage 1). Цитата Помощь русскоговорящего адвоката высшей категории: консультации, проверка заявлений, ведение дел: www.legalcentre.org Mob/Viber/WhatsApp:+44(0)77 911 45 923, Skype: immigration_lawyer
British Lawyer Опубликовано 6 мая, 2019 Автор Жалоба Опубликовано 6 мая, 2019 (изменено) Каждый день приносит хорошие новости клиентам Legal Centre. Этот понедельник не был исключением: Заявление на визу Tier 1 (Exceptional) Talent, рассмотренное за 24 часа (Super Premium Service) Виза жена британца, рассмотренное менее чем за 30 дней (Premium Service) Вот как выглядят вышеупомянутые решения Home Office: Изменено 6 мая, 2019 пользователем British Lawyer Цитата Помощь русскоговорящего адвоката высшей категории: консультации, проверка заявлений, ведение дел: www.legalcentre.org Mob/Viber/WhatsApp:+44(0)77 911 45 923, Skype: immigration_lawyer